그래프에서 연결 요소의 개수 구하기 (파이썬 코드)
기타2020. 10. 4. 04:07
728x90
반응형
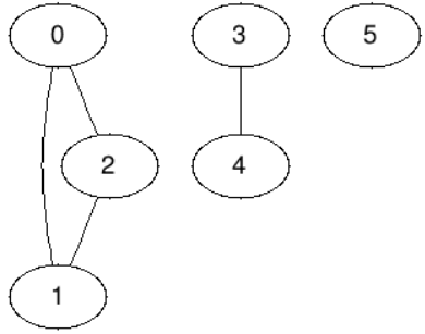
아래 그래프에는 3개의 연결 요소가 있다.

연결 요소의 개수를 세는 코드는 다음과 같다.
n = 6
m = 4
# 그래프 정보 초기화
graph = [
[1, 2],
[0, 2],
[0, 1],
[4],
[3],
[]
]
# 각 노드의 방문 여부
visited = [False] * n
# 특정 노드에서부터 연결된 모든 노드를 방문 처리
def dfs(x):
visited[x] = True
# 현재 노드와 인접한 노드 또한 방문 처리
for i in graph[x]:
if not visited[i]:
dfs(i)
result = 0
for i in range(n):
# 아직 방문하지 않았다면 방문
if not visited[i]:
dfs(i)
result += 1
print(result)728x90
반응형
'기타' 카테고리의 다른 글
| 백준 온라인 저지(BOJ)에서 문제 난이도 보는 방법 (+ solved.ac) (1) | 2020.10.06 |
|---|---|
| 피보나치 수가 n 자릿수 이상이 되기 위한 가장 작은 인덱스 구하기 (파이썬) (0) | 2020.10.04 |
| PuTTY 다운로드 및 설치 방법 (0) | 2020.09.25 |
| ODROID C1에 최신 커널 올리는 방법 (0) | 2020.09.25 |
| [무료 소프트웨어] Advanced IP Scanner를 이용하여 IP 대역 간단히 스캐닝하기 (0) | 2020.09.22 |